Wpłaty na Radę Rodziców
Rok Szkolny 2024/2025
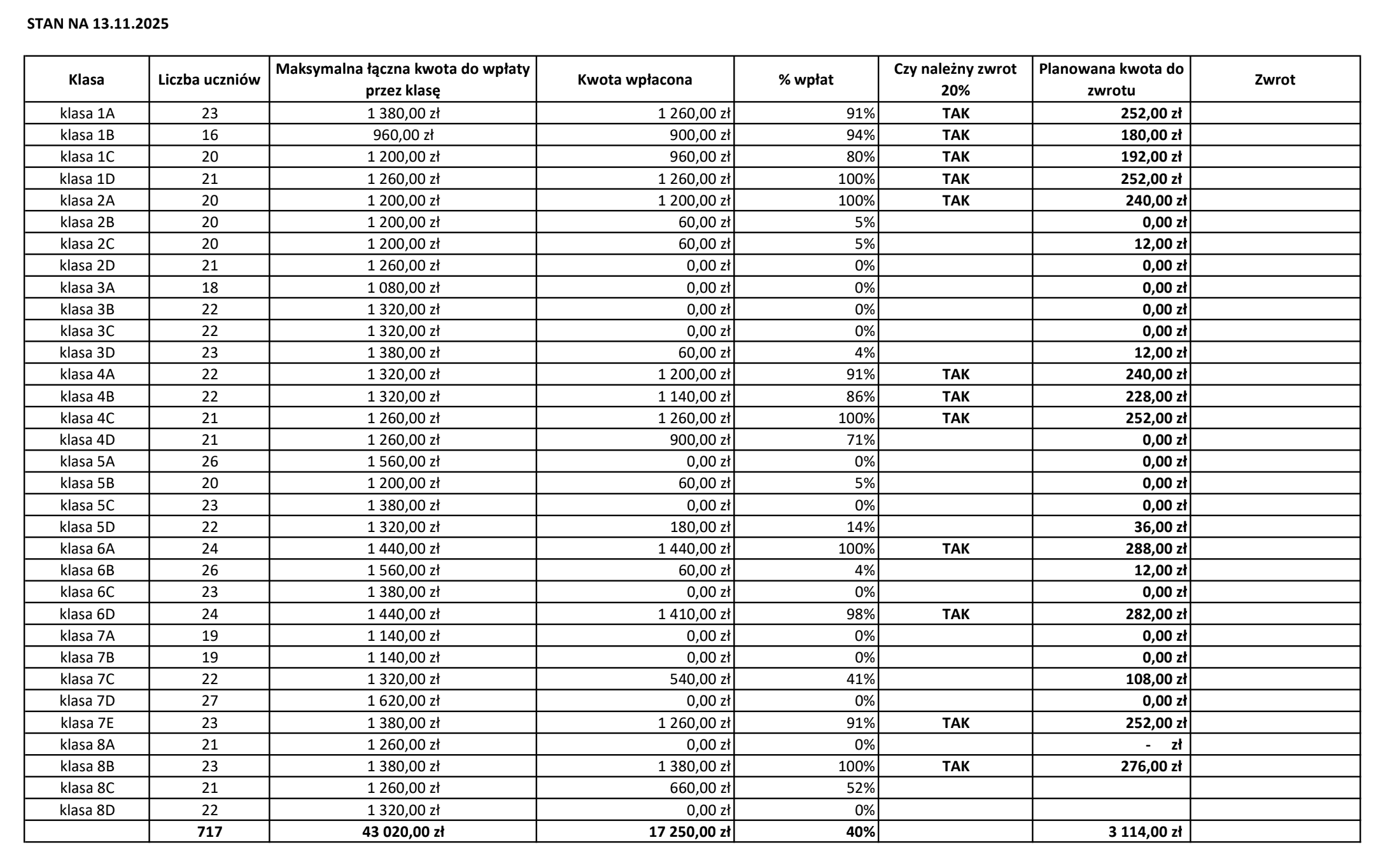
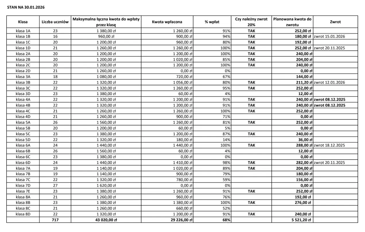
Wpłaty na Radę Rodziców w roku szkolnym 2025/2026:
Wpłaty na Radę Rodziców z 13.11.2025:

Komunikaty
UWAGA, grudniowe konsultacje nauczycieli odbędą się we wtorek 16.12 (WSZYSCY nauczyciele, z wyj.: p. Orelik, p.Grotek, p. Pawlak, p. Augustyniak, p. Minke, p. Przydanek, p.Kisiel).
Szkolne Koło Wolontariatu zaprasza uczniów do udziału w świątecznych działaniach:
1. „Akcja Pierniki” – upiecz w domu pierniki w kształcie motyli, udekoruj, zapakuj je foliowe torebki (w jednej paczuszce mogą się znaleźć trzy mniejsze pierniki lub jeden większy) i przynieś do szkoły najpóźniej do 26.11. Zdjęcia z pieczenia prześlij na adres: paulina.hacia@sp5-
2. Kartka na Boże Narodzenie lub ozdoba świąteczna – wykonaj kartki świąteczne lub ozdoby dla osób starszych i chorych – do 26.11
3. Wykonajmy razem świąteczne paczki dla Pacjentów Hospicjum Palium oraz Hospicjum Domowego i ich Rodzin (produkty przynosimy do wychowawców klas do 26.11).
LISTA POTRZEB – zbiórka świąteczna dla hospicjum domowego
Produkty pierwszej potrzeby – najpilniejsze:
Pieluchomajtki TENA i SENI
https://seni.pl/pl/category/
https://www.tena.pl/
produktow/?filter=
Pieluchy dla dorosłych TENA i SENI
Chusteczki nawilżane (dezynfekcyjne, duże)
Najlepiej dedykowane osobom chorym, np. TENA lub SENI
Odżywki Nutridrink
https://sklep.
Podkłady higieniczne
�� Kosmetyki i środki do pielęgnacji ciała:
Szampony do włosów
– TENA, SENI – linie dedykowane osobom chorym
Żele pod prysznic / do kąpieli
– TENA, SENI – linie dedykowane osobom chorym
Kremy i balsamy
– TENA, SENI – linie dedykowane osobom chorym
Pianka do oczyszczania skóry TENA, SENI
Myjki jednorazowe do ciała dla chorych (nie gąbki)
Produkty spożywcze:
Kawa mielona i rozpuszczalna
Herbata (nie ziołowe)
Rozpoczynamy zbiórkę suchej i mokrej karmy do schroniska. Dary z informacją ( imię i nazwisko ucznia) umieszczoną na dołączonej kartce, prosimy przynosić do sali 203 lub do dyżurki szkolnej.
Schronisko ( Poznań – ul. Kobylepole 51)prosi o:
-dla psów: karmę Brit Premium lub Brit Care., Dolina Noteci
-dla kotów karmę Josera, mleko Eminent Kitten Milk, Royal Canin Mothet & Babycat., Animonda, Dolina Noteci.
Zbiórka będzie trwać do końca listopada 2025r.
Organizatorzy:
Joanna Taberska( z kl. 6c) i Patrycja Grotek ( z kl. 7b)
Wykaz podręczników obowiązujących w roku szkolnym 2025/2026: